Pannello bifacciale TOPcon 590 W
Grazie alla innovativa tecnologia TOPcon, il modulo fotovoltaico vanta efficienza elevata, lunga durata ed una resa superiore al 22%.
Le celle bifacciali rendono il pannello ancora più performante poiché sfruttano la luce riflessa dal terreno o da superfici adiacenti.
Viene fornito di serie con cavi di collegamento da 120 cm, evitando giunture e rendendo l’installazione più semplice e rapida.
È certificato TÜV, offre elevate performance in condizioni ambientali avverse e garantisce ottime rese anche con scarsa illuminazione.
Richiedi informazioni Simula un preventivo
Vantaggi
Tecnologia
TOPcon
La tecnologia TOPcon (Tunnelling Oxide Passivated Contact) utilizzata nei nuovi moduli fotovoltaici Rossato è la soluzione innovativa che oggi si pone come alternativa alle celle PERC (Passivated Emitter and Rear Cell).
Il retro della cella TOPcon è completamente passivato, inclusi i contatti, mentre nella cella PERC i contatti non sono passivati. La passivazione dei contatti permette di ridurre il numero di elettroni che, una volta generati dai fotoni, vengono dispersi perché assorbiti dalle impurità presenti nella cella e non possono quindi essere “estratti” dal circuito elettrico.
Grazie alla tecnologia TOPcon è possibile aumentare l’efficienza delle celle e di conseguenza dell'intero modulo fotovoltaico: a parità di dimensioni, si può passare da un 410 Watt PERC ad un 430 Watt TOPcon.
Garanzia di resa di 30 anni 
La garanzia sul rendimento lineare dei moduli fotovoltaici assicura che l'efficienza di produzione dell'energia solare rimanga costante nel tempo, garantendo massima affidabilità e prestazioni durature.
Appena installato un pannello solare garantisce il 100% di resa che tende a diminuire con il passare del tempo. I pannelli solari Rossato al trentesimo anno d'uso garantiscono ben l'87,4% della resa, ben il 7,4 percento in più rispetto ai comuni pannelli PERC.
Principali vantaggi
⇒ 25 anni di garanzia sul prodotto e 30 anni di garanzia sulla resa
La garanzia sul prodotto copre qualsiasi difetti di fabbricazione per 25 anni. La garanzia sulla resa assicura che i pannelli manterranno l’ efficienza energetica dichiarata dopo 30 anni.
⇒ Resa oltre 22%
I pannelli fotovoltaici TOPCon raggiungono un'efficienza superiore al 22% grazie alla tecnologia avanzata di contatto posteriore e alla disposizione ottimizzata dei materiali, massimizzando la cattura e la conversione dell'energia solare.
⇒ Ottima resistenza al carico meccanico
L'eccezionale resistenza al carico meccanico (2400 Pa vento e 5400 Pa neve) consente ai pannelli di sopportare forti venti e pesanti carichi di neve senza compromettere la loro integrità strutturale.
⇒ Test di doppia elettroluminescenza (EL)
Tutti i pannelli sono ispezionati accuratamente prima e dopo la laminazione per garantire che siano privi di difetti.
⇒ Resistenza alla degradazione (PID)
I pannelli fotovoltaici sono stati testati per garantire una durata superiore in ambienti umidi e caldi, proteggendoli dalla potenziale perdita di prestazioni dovuta alla degradazione indotta da fattori ambientali.

Sistema fotovoltaico con una pompa di calore
L'abbinamento di un sistema fotovoltaico con una pompa di calore offre numerosi vantaggi, che possono migliorare l'efficienza energetica e la sostenibilità di un edificio.
Utilizzando l'energia elettrica prodotta dai pannelli fotovoltaici per alimentare la pompa di calore, è possibile ridurre i costi energetici per il riscaldamento, il raffrescamento dell'edificio e la produzione di acqua calda sanitaria poiché i pannelli fotovoltaici generano energia gratuitamente dal sole.
L'uso congiunto di energia solare e pompe di calore, inoltre, contribuisce alla riduzione delle emissioni di carbonio, poiché si basa su fonti di energia rinnovabile e riduce la dipendenza da combustibili fossili.
Abbinando, inoltre, un sistema di batteria di accumulo, si ottiene una reale indipendenza energetica.
Caratteristiche Tecniche
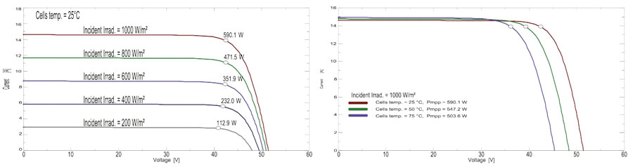
Curve IV

Dati tecnici
| Parametri tecnici | Pannello bifacciale TOPcon 590 W | |
| Potenza massima | 590 W | |
| Tensione massima di potenza (Vmp) | 42.97 V | |
| Corrente massima di potenza (Imp) | 13.83 A | |
| Tensione a circuito aperto (Voc) | 51.41+/-3% V | |
| Corrente a corto circuito (Isc) | 14.63+/-3% A | |
| Efficienza del modulo | 22.83 % | |
| Dati elettrici (NMOT) Irragiamento a 800w/m2, temperatura ambiente 20°C, velocità del vento 1m/s | ||
| Potenza nominale di picco - Pmax |
445.00 Wp | |
| Tensione di potenza massima - Vmp(V) | 40.03 V | |
| Corrente di potenza massima-lmp(A) | 11.12 A | |
| Tensione a circuito aperto -Voc(V) | 48.72+/-3% V | |
| Corrente di corto circuito -Isc(A) | 11.83+/-3% A | |
| Parametri di generazione di potenza su entrambi i lati (guadagno posteriore) | ||
| 5% | Potenza massima (Pmax) | 619.50 |
| Efficienza del modulo (%) | 23.97 | |
| 15% | Potenza massima (Pmax) | 678.50 |
| Efficienza del modulo (%) | 26.25 | |
| 25% | Potenza massima (Pmax) | 737.50 |
| Efficienza del modulo (%) | 28.54 | |
| Caratteristiche meccaniche | |
| Tipo di cella (mm) | 182*91 Tipo N mono |
| Numero di celle | 144(12*12) |
| Dimensioni del modulo (mm) | 2278-1134-30 |
| Peso (Kg) | 32.00 |
| Vetro bifacciale frontale (mm) | Vetro temperato con rivestimento AR da 2.0mm |
| Vetri bifacciale posteriore (mm) | Vetro smaltato da 2.0 mm |
| Telaio | Lega di alluminio anodizzato (argento) |
| Scatola di giunzione | IP68, 1500VDC, 3 diodi Schottky di bypass |
| Cavi | 4.0 mm, positivo(+) 350 mm, negativo(-) 350 mm, o lunghezza personalizzata |
| Connettore | IP68 |
| Carico di neve/vento | 5400Pa/2400Pa |
| Classe di sicurezza | class II |
| IEC classe di resistenza al fuoco | Classe C |
Dimensionali
Dimensionali

| Larghezza mm |
Altezza mm |
Spessore mm |
| 1134 | 2278 | 30 |